The myoFORCE module in MR streamlines jump assessment by automatically detecting specific jump types and extracting key performance metrics from force plate data. To ensure accurate event detection and meaningful interpretation of results, this document describes each supported jump type along with the proper execution criteria.
Jump Parameters
The parameters calculated by the myoFORCE Jump Analysis module can be classified into 3 categories:
- Biomechanical Parameters — the mechanical aspects of human movement
- Temporal Parameters — the timing aspects of different events
- Jump Height Parameters — the vertical displacement of the body
Biomechanical Parameters
Body Composition Parameters
Body Weight CMJ SJ DJ JL BJ CoD HOP LCMJ
Available for: CMJ, SJ, DJ, JL, BJ, CoD, Hopping. Lateral CMJ
Units: N
NOTE: Body weight calculation influences the detection of phases and calculation of impulse-based parameters.
Definition: Body weight is calculated as the mean value of the vertical force over a 0.5 sec interval wherein the vertical force stays within +/- 5% of the mean value. The body weight interval is defined between the beginning of the record and the beginning of the first flight or, if it is not found, from the end of the last flight to the end of the record.
Body Weight Asymmetry CMJ SJ DJ JL BJ CoD HOP LCMJ
Available for: CMJ, SJ, DJ, JL, CoD, BJ Hopping, Lateral CMJ
Units: %
NOTE: Positive value indicates dominance of the left side.
Movement Characteristics
Countermovement Depth CMJ DJ
Available for: CMJ, DJ
Units: cm
Definition: The maximum displacement of the center of mass during the eccentric phase of the jump.
Braking Duration CMJ SJ DJ BJ CoD LCMJ
Available for: CMJ, SJ, DJ, BJ, CoD, LCMJ
Units: seconds
Definition: The duration of the second sub-phase of the loading phase, which starts at the end of unweighting and ends when the vertical velocity of the center of mass decreases to zero.
For cutting, begins at foot contact and ends when horizontal AP or ML take-off velocity turns positive.
Propulsive Duration CMJ SJ DJ BJ CoD LCMJ
Available for: CMJ, SJ, DJ, BJ CoD, Lateral CMJ
Units: seconds
Definition: The duration of the propulsive phase, which begins when vertical velocity turns positive and ends at take-off.
For cutting, begins when horizontal AP or ML take-off velocity turns positive and ends at take-off.
Countermovement Time CMJ DJ BJ
Available for: CMJ, DJ, BJ
Units: seconds
Definition: The summation of the duration of the unweighting and braking sub-phases of the loading phase.
Vertical Stiffness CMJ SJ DJ JL HOP
Available for: CMJ, SJ, DJ, JL, Hopping
Units: kN/m
Definition: The max force during landing divided by the vertical
displacement of the center of mass during landing. A larger
value indicates a stiffer landing.

t0 = landing contact time
t1 = landing end time
force(t) = Fz(t) – Body Weight
v0 = vertical take-off velocity
Body Mass = Body Weight/9.81

Impulse Characteristics
Net Impulse CMJ SJ DJ BJ JL
Available for: CMJ, SJ, DJ, JL, BJ
Units: N*s
Definition: The average force times the duration of force application. This value is equal to the change in momentum for the period of interest. Net impulse is available for the loading phase (CMJ, SJ, BJ) and the landing phase (CMJ, SJ, DJ, JL).

t0= beginning of phase
t1= end of phase
force(t) = Fz(t) – Body Weight
Net Impulse at First and Second Half of Eccentric Phase CMJ SJ DJ BJ
Available for: CMJ, SJ, DJ, BJ
Units: N*s
Note: Separate left and right impulse values are provided for each subphase.
Definition: Net Impulse calculated for the first and second half of the Braking phase.
Net Impulse at First and Second Half of Concentric Phase CMJ SJ DJ BJ
Available for: CMJ, SJ, DJ, BJ
Units: N*s
Note: Separate left and right impulse values are provided for each subphase.
Definition: Net Impulse calculated for the first and second half of the Propulsive phase.
Concentric Net Impulse at 50, 100, and 150 ms CMJ SJ DJ BJ
Available for: CMJ, SJ, DJ, BJ
Units: N*s
Note: Separate left and right impulse values are provided for each subphase.
Definition: Net Impulse calculated for the first 50 ms, 100 ms, and 150 ms of the Propulsive phase.
Braking Impulse CMJ DJ BJ
Available for: CMJ, DJ, BJ
Units: N*s

t0= beginning of the braking phase
t1= end of the braking phase
Force(t) = Fz(t)
Propulsive Impulse CMJ SJ DJ BJ
Available for: CMJ, SJ, DJ, BJ
Units: N*s

t0= beginning of the propulsive phase
t1= end of the propulsive phase
Force(t) = Fz(t)
Kinetic Asymmetry Index (“Phase 1”, Eccentric Phase) CMJ SJ DJ JL
Available for: CMJ, SJ, DJ, JL
Units: %
NOTES:
Positive value indicates dominance of the left leg
For squat jumps, the ratio compares the impulse produced during the first half of the propulsive phase, i.e., “Phase 1”.
Landing Kinetic Asymmetry Index is calculated for all jump types from the landing eccentric phase.
Definition: The ratio comparing the total impulse (N*s) produced during the eccentric phase of the countermovement jump allows
for limb asymmetry to be identified in the individual’s ability to absorb and counteract momentum, rapidly decelerating the body during the jump. The eccentric phase of a CMJ and DJ is defined as the deceleration phase of the movement, which is the identifiable span of time from the maximum
negative Center of Mass (COM) vertical velocity until the COM vertical velocity is 0 m/s. (2)

t0= beginning of the propulsive phase
t1= end of the propulsive phase
Force(t) = Fz(t)
Kinetic Asymmetry Index (“Phase 2”, Concentric Phase) CMJ SJ DJ JL
Available for: CMJ, SJ, DJ, JL
Units: %
NOTES:
Positive value indicates dominance of the left leg
For squat jumps, the ratio compares the impulse produced during the second half of the propulsive phase, i.e., “Phase 2”.
Landing Kinetic Asymmetry Index is calculated for all jump types from the landing concentric phase.
Definition: The ratio comparing the total impulse (N*s) produced during the concentric phase of the countermovement jump allows for limb asymmetry to be identified in the individual’s ability to produce momentum and accelerate the body upward during the jump. The concentric phase of a CMJ and DJ is defined as the acceleration phase of the movement, which is the identifiable span of time when the Center of Mass vertical velocity is above 0 m/s until take-off or start of the flight phase. (2)

t0= beginning of the propulsive phase
t1= end of the propulsive phase
Force(t) = Fz(t)
Force Metrics
Peak Force CMJ SJ DJ JL BJ HOP
Available for: CMJ, SJ, DJ, JL, Hopping
Units: N
NOTE: Available as Peak Loading Force and Peak Landing Force.
Definition: Peak instantaneous vertical force value during loading (CMJ, SJ, DJ, BJ) and landing phase (CMJ, SJ, DJ, JL) is identified.
The peak force the individual produces during the loading or landing phase of a jump. This provides insight into the amount of force the body can produce during loading and/or must absorb during landing.
Peak ML/AP Braking Force CoD LCMJ BJ
Available for: CoD, Lateral CMJ, BJ
Units: N
Definition: Peak instantaneous horizontal force value during the braking phase, computer separately for the medial-lateral and anterior-posterior directions.
Peak & Average Braking Force CMJ DJ BJ
Available for: CMJ, DJ, BJ
Units: N
Peak Definition: Peak instantaneous vertical force value during the braking phase.
Average Definition: Average force value during the braking phase
Peak ML/AP Propulsive Force CoD LCMJ BJ
Available for: CoD, Lateral CMJ, BJ
Units: N
Definition: Peak instantaneous horizontal force value during thepropulsive phase, computer separately for the medial-lateral and anterior-posterior directions.
Peak & Average Propulsive Force CMJ SJ DJ BJ
Available for: CMJ, SJ, DJ, BJ
Units: N
Peak Definition: Peak instantaneous force value during the propulsive phase.
Average Definition: Average force value during the propulsive phase
Max Rate of ML/AP Force Development CoD LCMJ BJ
Available for: CoD, LCMJ
Units: N/s
Definition: The force signal is smoothed by a 20 ms moving average window, then the maximum derivative of the smoothed signal during the loading phase (CMJ, SJ, DJ, BJ).
This value is used to describe an individual’s ability to produce maximal voluntary muscular activation during explosive contractions (reference).
Max Rate of Force Development CMJ SJ DJ JL BJ HOP
Available for: CMJ, SJ, DJ, JL, Hopping
Units: N/s
Definition: The force signal is smoothed by a 20 ms moving average window, then the maximum derivative of the smoothed signal during the loading phase (CMJ, SJ, DJ) and landing phase (CMJ, SJ, DJ, BJ) is identified.
This value is used to describe an individual’s ability to produce maximal voluntary muscular activation during explosive contractions (3).
Force at Peak Power CMJ SJ
Available for: CMJ, SJ
Units: N
Definition: Vertical force at the instance of peak power.
Force at Zero Velocity CMJ SJ DJ
Available for: CMJ, SJ, DJ
Units: N
Definition: Instantaneous vertical force at the beginning of the propulsive phase (when velocity is equal to 0).
Average Braking Velocity CMJ DJ BJ
Available for: CMJ, DJ, BJ
Units: m/s
NOTE: Peak braking velocity is also provided.

t0= beginning braking phase
t1= end of the braking phase
force(t) = Fz(t) – Body Weight
ℊ = gravity of Earth
BW = body weight
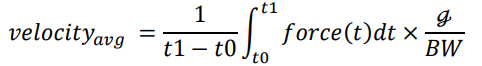
Average Propulsive Velocity CMJ SJ DJ BJ
Available for: CMJ, SJ, DJ, BJ
Units: m/s
NOTE: Peak propulsive velocity is also provided.

t0= beginning propulsive phase
t1= end of the propulsive phase
force(t) = Fz(t) – Body Weight
ℊ = gravity of Earth
BW = body weight
Velocity at Peak Power CMJ SJ
Available for: CMJ, SJ
Units: m/s
Definition: Vertical velocity at the instance of peak power.
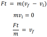
Vertical Take-Off Velocity by Net Impulse CMJ SJ DJ JL HOP
Available for: CMJ, SJ, DJ, JL, Hopping
Units: m/s
NOTE: Vertical take-off velocity can be used to assess an athlete’s ability to absorb and rapidly express force.

Power Metrics
Peak Power CMJ SJ DJ HOP BJ
Available for: CMJ, SJ, DJ, Hopping, BJ
Units: Watt (W)
Definition: The instantaneous maximal value of the power curve, which is the product of the force and the velocity curves, during the loading phase.
F(t) = Fz(t) = the vertical ground reaction force
v(t) = instantaneous center of mass velocity
Average Braking Power CMJ DJ BJ
Available for: CMJ, DJ, BJ
Units: Watt (W)
Definition: Average Braking Power is the average Power over the braking phase
F(t) = Fz(t) = the vertical ground reaction force
v(t) = instantaneous center of mass velocity
Average Propulsive Power CMJ SJ DJ BJ
Available for: CMJ, SJ, DJ, BJ
Units: Watt (W)
Definition: Average Propulsive Power is the average Power over the propulsive phase
F(t) = Fz(t) = the vertical ground reaction force
v(t) = instantaneous center of mass velocity
Max Rate of Power Development CMJ SJ DJ HOP
Available for: CMJ, SJ, DJ, Hopping
Units: Watts/s
Definition: The maximum of the derivative of the power curve for the loading phase (CMJ, SJ, DJ).
Mean Eccentric and Concentric Power CMJ SJ DJ
Available for: CMJ, SJ, DJ
Units: Watt (W)
Definition: Average power produced during both the braking (eccentric) and the propulsive (concentric) phases, divided by the total contraction duration (braking duration + propulsive duration).

t0 = end of unweighting
t1 = vertical velocity crosses zero
t2 = take-of
Temporal Parameters
Time Metrics
Flight Time CMJ SJ DJ HOP
Available for: CMJ, SJ, DJ, Hopping
Units: seconds
Available for: CMJ, SJ, DJ
Units: Watt (W)
Time to Stabilization (TTS) CMJ SJ DJ JL
Available for: CMJ, SJ, DJ, JL
Units: seconds
Definition: The time from the beginning of the landing phase to the beginning of post-stabilization phase. Typically used with single-leg jump landings.
TTS is a metric used to evaluate individuals with functional ankle instability (4). It has also been suggested as a metric to monitor progress during rehabilitation (1).
Contact Time DJ CoD HOP
Available for: DJ, COD, Hopping
Units: seconds
Definition: The time between the athlete’s initial food contact and moment the foot leaves the ground.
Key indicator of deceleration efficiency and moment redirection capability. Shorter contact times indicate more efficient use of the stretch-shortening cycle and higher reactive strength.
Jump Height Metrics
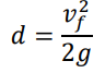
Jump Height by Flight Time CMJ SJ DJ HOP
Available for: CMJ, SJ, DJ, Hopping
Units: cm

Definition: The peak center of mass displacement is calculated using jump flight time with projectile motion equations.
Jump Height by Net Impulse CMJ SJ DJ HOP
Available for: CMJ, SJ, DJ, Hopping
Units: cm

Definition: Using the force and time information, vertical velocity at jump take-off (vf) is calculated. This is used with a traditional projectile motion equation to calculate max displacement of the athlete’s center of mass during the jump.
Modified Reactive Strength Index by Net Impulse (RSImod) CMJ SJ DJ BJ HOP
Available for: CMJ, SJ, DJ, BJ, Hopping
Units: unitless

Definition: RSImod is a ratio of jump height to the difference in time between the initial decrease in GRF to the moment of takeoff (i.e., load phase). Either jump height measurement options can be used for this metric (i.e., jump height by flight time or jump height by net impulse).
Make it Relative
Many of the above metrics can be reported relative to body mass. This allows for a more applicable comparison between individuals or between testing time point. The following parameters have relative counterparts:
- Rate of Force Development (vertical, AP, and ML)
- Peak Force (vertical, AP, and ML)
- Peak Braking Force (vertical, AP, and ML)
- Peak Propulsive Force (vertical, AP, and ML)
- Peak Power
Check For Symmetry
Between limb comparisons can be helpful in identifying performance deficits or monitoring progress when returning after an injury. In addition to the Kinetic Asymmetry Index, five types of myoFORCE metrics (peak force, average force, peak power, rate of force development, and impulse) can be reported as bilateral parameters (requires dual force plate configuration).
Asymmetry index (Kinetic Asymmetry Index), calculated as the ratio between the injured and uninjured limb (or right and left sides of the body), is often considered clinically relevant when differences between the limbs are greater than 15% (5).
Defining the Jump Phases
Pre-Contact DJ JL CoD
Pre-Stabilization CMJ SJ
The period of rest before any movement begins where the vertical force signal is within 5% of body weight and vertical velocity equals zero.
Unweighting CMJ
A sub-phase of loading during the CMJ. It begins at movement onset and ends when the vertical velocity of the center of mass reaches its peak
Braking CMJ DJ CoD
A sub-phase of loading during the CMJ, DJ, or cutting. For CMJ, it begins at the end of the unweighting phase and ends when the vertical velocity decreases to zero. For DJ or cutting, it begins when the individual contacts the force plate and starts the rapid deceleration to horizontal or vertical velocity equal to zero.
Also termed decelerating or eccentric.
Propulsive SJ DJ CoD HOP
The period of positive vertical or horizontal velocity ending at take-off. Also termed accelerating or concentric.
Termed “Loading” for hopping jump type.
Flight CMJ SJ DJ HOP
The flight phase begins when the individual is no longer producing force onto the force plate and ends when the individual contacts the force plate again.
Landing Eccentric CMJ SJ DJ JL HOP
The landing eccentric phase begins when the individual contacts the force plate after the flight phase and ends when the vertical velocity decreases to zero.
Termed “Landing” for hopping jump type.
Landing Concentric CMJ SJ DJ JL
The landing concentric phase is period of positive vertical velocity ending when the subject stabilizes to within 5% of their body weight.
Post-Stabilization CMJ SJ DJ JL
The period of rest after the landing phase where the vertical force signal is within 5% of body weight and vertical velocity equals zero.
References
1. Colby SM, Hintermeister RA, Torry MR, Steadman JR. Lower limb stability with ACL impairment. Journal of Orthopedic Sports Physical Therapy. 1999;29:444– 451.
2. Jordan MJ, Aagaard P, Herzog W. Lower limb asymmetry in mechanical muscle function: a comparison between ski racers with and without ACL reconstruction.
Scandinavian Journal of Medicine and Science in Sports. 2015;23(3):e301-309.
3. Maffiuletti NA, Aagaard P, Blazevich AJ, Folland J, Tillin N, Duchateau J. Rate of force development: physiological and methodological considerations. European Journal of Applied Physiology. 2016;116:1091-1116.
4. Simpson JD, Stewart EM, Macias DM, Chander H, Knight AC. Individuals with chronic ankle instability exhibit dynamic postural stability deficits and altered unilateral landing biomechanics: A systematic review. Physical Therapy in Sport. 2019;210-219.
5. Setuain, I, Lecumberri, P, Izquierdo, M. Sprint mechanics return to competition follow-up after hamstring injury on a professional soccer player: A case study with aninertial sensor unit based methodological approach. Journal of Biomechanics. 2017;186-191.


